Éradiquer... les grumeaux !

06/07/2014

L’ESPCI ParisTech et Nestlé collaborent pour mieux comprendre - et maîtriser - la dissolution des poudres alimentaires.

Les iridescences autour de la goutte d’eau ("water droplet") sont des interférences optiques qui proviennent des réflexions de la lumière aux interfaces avant et arrière du film de carbohydrate (polymère de maltodextrine). Elles dépendent de la distance entre ces deux interfaces et permettent de mesurer l’épaisseur du polymère à proximité de la goutte - et donc l’absorption de solvant, qui le fait gonfler. ©ESPCI ParisTech

La dissolution complète d’une poudre alimentaire est nécessaire pour obtenir une boisson ou une pâte homogène, appétissante pour le consommateur mais aussi efficace dans sa fonction nutritionnelle. Malheureusement, tout le monde a déjà pu faire l’expérience de la dissolution imparfaite de matières pulvérisées, comme le cacao en poudre, les flocons de pommes de terre ou certaines farines, due à la formation de grumeaux.

Ce problème de solubilité, déjà frustrant à l’échelle domestique, devient un enjeu majeur à l’échelle des processus industriels, qui exigent une (re)solubilisation totale et rapide de matières en poudre, pulvérisées car plus légères à transporter, notamment. De fait, les mécanismes à l’œuvre sont remarquablement complexes puisqu’ils font intervenir tout à la fois les propriétés physiques & chimiques du substrat, tout comme celles du solvant.

L’ESPCI ParisTech travaille depuis longtemps sur cette problématique de solubilisation avec le Centre de recherche Nestlé (CNRC) de Lausanne (Suisse), qui apprécie notamment les compétences des ingénieurs et des élèves-ingénieurs de l’École : 4 des auteurs de l’étude sont diplômés de l’ESPCI, et Nestlé est le parrain de la 131e promotion d’élèves-ingénieurs de l’ESPCI ParisTech, qui sera diplômée en 2016.

En l’occurrence, les chercheurs du laboratoire Sciences et Ingénierie de la Matière Molle (UMR 7615 du CNRS, également associée à l’UPMC) ont examiné l’étalement d’une goutte d’eau sur un film amorphe d’un carbohydrate alimentaire, comme la maltodextrine, polymère de sucres. Cette couche mince modélise la surface d’un flocon ou d’un grumeau, par exemple.

Alors que l’étalement d’une goutte sur un substrat insoluble est aujourd’hui bien compris et maîtrisé (peintures, etc.), le cas des matières alimentaires, où le substrat est soluble dans le solvant, est beaucoup plus complexe car, lorsque la goutte s’étale, les propriétés physiques du substrat changent à l’approche de la ligne de front de la goutte.

Un dispositif expérimental simple mais ingénieux a d’abord été mis au point pour mesurer la relation entre l’angle de contact de la goutte sur le substrat et la vitesse d’étalement, les deux paramètres qui caractérisent la solubilisation. Ces paramètres décroissent abruptement lorsqu’il y a solvatation, car le solvant de la goutte rend le substrat mouillant. D’une part, deux caméras vidéo synchronisées mesuraient simultanément ces deux paramètres clés ; d’autre part, la condensation et la diffusion de l’eau dans la couche elle-même étaient également mesurées, par l’analyse des changements de couleur de la lumière réfléchie (figure ci-dessus).

Les scientifiques ont ainsi pu mettre en évidence l’existence d’un seuil critique pour la vitesse d’étalement de la goutte, seuil au dessous duquel la solubilisation du substrat par la goutte est effective, et au dessus duquel la solubilisation est problématique. Ils ont de fait montré que la goutte ne devait pas s’étaler trop vite pour que le film polymère à proximité immédiate de la goutte puisse avoir le temps de passer par une transition vitreuse, de l’état vitreux amorphe à l’état fondu, ce dernier absorbant le solvant beaucoup plus facilement.

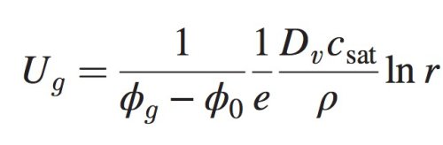
Les chercheurs ont ensuite élaboré une équation qui lie, de manière quantitative, ce seuil de vitesse d’étalement aux propriétés rhéologiques du substrat (viscosité, etc.), ainsi qu’à son épaisseur. Les données expérimentales sont en accord avec cette équation, ce qui indique que toutes les composantes du mécanisme de solubilisation ont été comprises et modélisées.

Ces résultats représentent un pas en avant majeur pour l’industrie agroalimentaire, car cette théorie va permettre de faire des calculs et des prédictions sur la forme, le conditionnement et l’état physique qu’il faudra donner à une poudre alimentaire pour qu’elle soit rapidement et totalement solubilisable, dans l’eau froide ou dans l’eau chaude, dans le lait, etc. Elle ouvre la voie au développement de produits alimentaires à la fois nutritifs et agréables pour le consommateur, et pour la maîtrise réfléchie de la solubilisation de poudres dans les processus industriels à grande échelle.

Enfin, ces résultats théoriques et fondamentaux sont emblématiques de l’inspiration féconde que les chercheurs de l’ESPCI peuvent tirer des collaborations étroites qu’ils entretiennent avec l’industrie.

Contacts

Laurence Talini
laurence.talini (arobase) espci.fr

Emilie Verneuil
emilie.verneuil (arobase) espci.fr

François Lequeux
francois.lequeux (arobase) espci.fr

Référence

Les résultats de l’étude ont été publiés dans la revue Physical Review Letters :
"Glass transition accelerates the spreading of polar solvents on a soluble polymer"
Julien Dupas, Émilie Verneuil, Maxime Van Landeghem, Bruno Bresson, Laurent Forny, Marco Ramaioli, François Lequeux and Laurence Talini
Physical Review Letters, 112, 188302, 2014
doi : 10.1103/PhysRevLett.112.068103

Couverture media

 Study could smooth lumps from powdered drinks (Communiqué de presse de Nestlé)
 Getting to grips with lumps - Nestlé scientists collaborate to improve understanding of powder dissolution (site institutionnel de Nestlé)
 Where lumpy cocoa goes to die (Washington Post)
 Study Could Smooth Lumps From Powdered Drinks (Food & Drink Business Europe)
 Theory could reduce lumps in powdered foods (Food Processing)
 Nestlé scientists report solubility breakthrough (Global Foodmate)
 Nestle study could smooth lumps from powdered drinks (Process & Control Today)
 Nestlé, French researchers seek to smooth out lumps and bumps in beverages (Dairy Foods)
 Nestlé claims credit for ‘major advance’ in beverage powder solubility (Food Navigator)
 Nestlé scientists observe interaction between water and powder (Foodbev.com)
 Meer inzicht in wijze waarop poeders oplossen in water (Food Holland)
 네슬레, 파우더 식품ㆍ음료..끝까지 간(粉)다 ! (Nutradex)
 Kan udjævne klumper i pulverdrikkevarer (FoodObserver)
 研究表明:粉制饮料中凝块可得到进一步溶解 (finance.china.com.cn)

Haut de page